FC3VREEDM48.0晶振為何經常在無線通信設計方案里見到?
來源:http://m.huihuangyouhua.com.cn 作者:金洛鑫電子 2019年11月14
FC3VREEDM48.0晶振為何經常在無線通信設計方案里見到?
現代化社會誰都離不開網絡與通信,目前的無線通信技術也越來越精進和高超,整個世界因此而緊緊相連在一起,即使相隔再遙遠的距離,也可以通過通信設備互相傾訴和視頻見面.這在幾十年前還是人們想都想過的事情,在此要感謝所有默默奉獻的科學家和工程師們,當然除了技術這種軟實力之外,更重要的是硬件設備要跟上.現在的通信設備也是更陳迭新的速度非常快,所使用的電子元件也受此影響,不斷的創新和提高性能,貼片晶振是其中變化比較大的一種電子零件.
安裝在密封陶瓷封裝中的矩形石英晶體是目前最廣泛用于定時源或用作商業電子組件中MHz頻率范圍內的頻率源.FC3VREEDM48.0晶振常出現于各大通信設備設計方案里,由于在寬溫度范圍內具有良好的頻率精度,因此使用了這款AT切割石英晶體.在過去的30年中,陶瓷封裝中的常規矩形石英晶體諧振器已在現代系統中用作頻率源.
在不利的環境條件下,例如G力(加速度)或振動,石英晶體諧振器的動態性能將降低.最受歡迎的矩形,陶瓷封裝石英諧振器的一個軸(X,Y,Z)的加速度/振動性能比其他兩個軸差10倍.Fox Electronics推出了C3VR以提高客戶系統在現代環境下的性能世界環境條件.最先進的諧振器采用了專利技術,該技術使FOX品牌C3VR產品系列能夠在Allaxes上保持幾乎一致的系統性能. 低G靈敏度晶體:
無線通信可受益于抗振晶體.討論中的改進與生存能力無關,這已經令人滿意.對于這些情況,C3VR等于常規設備.相反,它與振動(尤其是相位噪聲)下的動態性能有關.C3VR的開發始于幾年前,當時電信客戶提出了一個問題.我們在基本石英結構上解決了這個問題,從而為客戶解決了C3VR中使用的專利抗振技術.隨著物聯網(IoT),無線通信被擴展到具有廣泛技術,標準和應用范圍的更具挑戰性的環境中.
5G基站,WiFi,藍牙,BLE,WiFi/BT組合芯片組(包括802,11p和蜂窩V2X)將受益于相位噪聲的改進,這可以減少失真,提高可靠性并改善整體系統級性能.那些用于便攜式通信的系統可能最容易受益于低G靈敏度晶體,但其中的塔樓和建筑物以及其中的電信系統可能會受到來自建筑,交通和其他來源的振動的影響.C3VR的一個值得注意的方面是,它通常具有與常規SMD晶振完全相同的形式,裝配和功能.無需其他電路替代即可嘗試,并且性能和可靠性方面的優勢立即開始顯現. 最常見的AT切割石英晶體通常設計為用作體聲波諧振器(BAW).聲學是可以使它們對環境振動敏感的耦合機制.機械耦合的路徑是通過焊點進入封裝和晶體安裝結構.外部振動能量與壓電振動能量混合,并被上轉換為晶體的工作頻率.
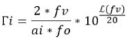
如果外部振動能量是單音,給定頻率下的單個正弦波,并且耦合到振蕩器電路中的石英晶體,則振蕩器的相位噪聲將包括在偏移頻率(邊帶)處的寄生響應.)等于外部振動頻率.寄生響應的大小與晶體的加速度敏感度有關,公式如下:

取而代之的是動態性能欠佳,特別是相位噪聲.
Γ=方向i上的加速度靈敏度(i=x,y或z),單位為ppb/G(或更小).
fv=振動頻率(正弦波),以赫茲為單位.
ai=以G為單位的加速度幅度,(G=9.8米/秒2)
fo=振蕩器(晶體)頻率,以赫茲為單位(例如40e6Hz)
(fv)=雜散的相位噪聲幅度,單位為dBc/Hz.
如果將振動能量表征為輪廓,如在隨機振動測試中那樣,則它具有(通過傅立葉法)模擬一系列正弦波,每個正弦波的頻率不同,每個正弦波都導致單獨的雜散和雜散的包絡峰值成為實際性能的衡量標準.兩種方法均以ppb/G表示相同的數值.
在1G的振動下,振蕩器處于靜止狀態(無外部振動)優于30dB的情況并不罕見.加速度靈敏度從零到大約50G呈線性關系.有可能看到雜散在高加速度下變得大于載體(石英晶振振蕩頻率).對于使用鎖相環的系統,即使是參考鎖的暫時丟失也是可靠性問題.對于使用鎖相環和其他倍頻方法的系統,上變頻頻率處的噪聲具有20log(M)的加法項,其中M是倍增因子.這包括來自單個音調的任何振動引起的尖刺或來自隨機音調的振動引起的包絡.
加速度靈敏度比較:
下面顯示了加速度測試結果,將常規晶體與C3VR進行了比較.正如您在Y和Z軸上看到的那樣,從常規晶體到C3VR的改進很少,但在X軸上的改進顯著,從總加速度靈敏度的角度來看,這有很大的不同.
相位噪聲比較:
從相位噪聲來看,您可以從創建加速度尖峰的傳統水晶振動子相位噪聲圖中看到,實際上比規格表和靜止相位噪聲圖中顯示的高30dB.使用C3VR可以大大減少這些尖峰,因此無論是靜止還是加速時,您的相位噪聲差異都最小.此外,在C3VR上看到的某些低頻衰減是由于測試設置中使用的電線和電纜的貢獻增加所致.
下圖說明了以上圖表創建過程中使用的Fox電子振動測試裝置.
流行頻率和應用:
盡管以下列表顯示了最需要的頻率和規格,但這絕不是唯一可用的頻率和規格.還開發了更多的產品,此外我們還可以根據您的要求進行定制變型.
在不利的環境條件下,例如G力(加速度)和振動,石英晶體諧振器的動態性能將降低.現有的頻率控制設備的相位噪聲可能會滿足您在靜止狀態下的需求,在運動中或受到環境和外界力影響的現實應用中,C3VR確實是理想的解決方案.C3VR現在正在提供樣品.
雖然FC3VREEDM48.0晶振不是現在最小型的石英晶體封裝產品,但是看到實物你就會明白,為什么會廣泛被通信產業使用,因為它真的非常小.而且可以長期保持可靠的電氣性能,能提供穩定的時鐘源信號,讓數據信息傳送和接收正常,遠距離通信無障礙,因此深受通信產業用戶的青睞,被長期使用在無線通信產品身上.
FC3VREEDM48.0晶振為何經常在無線通信設計方案里見到?
現代化社會誰都離不開網絡與通信,目前的無線通信技術也越來越精進和高超,整個世界因此而緊緊相連在一起,即使相隔再遙遠的距離,也可以通過通信設備互相傾訴和視頻見面.這在幾十年前還是人們想都想過的事情,在此要感謝所有默默奉獻的科學家和工程師們,當然除了技術這種軟實力之外,更重要的是硬件設備要跟上.現在的通信設備也是更陳迭新的速度非常快,所使用的電子元件也受此影響,不斷的創新和提高性能,貼片晶振是其中變化比較大的一種電子零件.
安裝在密封陶瓷封裝中的矩形石英晶體是目前最廣泛用于定時源或用作商業電子組件中MHz頻率范圍內的頻率源.FC3VREEDM48.0晶振常出現于各大通信設備設計方案里,由于在寬溫度范圍內具有良好的頻率精度,因此使用了這款AT切割石英晶體.在過去的30年中,陶瓷封裝中的常規矩形石英晶體諧振器已在現代系統中用作頻率源.
在不利的環境條件下,例如G力(加速度)或振動,石英晶體諧振器的動態性能將降低.最受歡迎的矩形,陶瓷封裝石英諧振器的一個軸(X,Y,Z)的加速度/振動性能比其他兩個軸差10倍.Fox Electronics推出了C3VR以提高客戶系統在現代環境下的性能世界環境條件.最先進的諧振器采用了專利技術,該技術使FOX品牌C3VR產品系列能夠在Allaxes上保持幾乎一致的系統性能. 低G靈敏度晶體:
無線通信可受益于抗振晶體.討論中的改進與生存能力無關,這已經令人滿意.對于這些情況,C3VR等于常規設備.相反,它與振動(尤其是相位噪聲)下的動態性能有關.C3VR的開發始于幾年前,當時電信客戶提出了一個問題.我們在基本石英結構上解決了這個問題,從而為客戶解決了C3VR中使用的專利抗振技術.隨著物聯網(IoT),無線通信被擴展到具有廣泛技術,標準和應用范圍的更具挑戰性的環境中.
5G基站,WiFi,藍牙,BLE,WiFi/BT組合芯片組(包括802,11p和蜂窩V2X)將受益于相位噪聲的改進,這可以減少失真,提高可靠性并改善整體系統級性能.那些用于便攜式通信的系統可能最容易受益于低G靈敏度晶體,但其中的塔樓和建筑物以及其中的電信系統可能會受到來自建筑,交通和其他來源的振動的影響.C3VR的一個值得注意的方面是,它通常具有與常規SMD晶振完全相同的形式,裝配和功能.無需其他電路替代即可嘗試,并且性能和可靠性方面的優勢立即開始顯現. 最常見的AT切割石英晶體通常設計為用作體聲波諧振器(BAW).聲學是可以使它們對環境振動敏感的耦合機制.機械耦合的路徑是通過焊點進入封裝和晶體安裝結構.外部振動能量與壓電振動能量混合,并被上轉換為晶體的工作頻率.
如果外部振動能量是單音,給定頻率下的單個正弦波,并且耦合到振蕩器電路中的石英晶體,則振蕩器的相位噪聲將包括在偏移頻率(邊帶)處的寄生響應.)等于外部振動頻率.寄生響應的大小與晶體的加速度敏感度有關,公式如下:

取而代之的是動態性能欠佳,特別是相位噪聲.
Γ=方向i上的加速度靈敏度(i=x,y或z),單位為ppb/G(或更小).
fv=振動頻率(正弦波),以赫茲為單位.
ai=以G為單位的加速度幅度,(G=9.8米/秒2)
fo=振蕩器(晶體)頻率,以赫茲為單位(例如40e6Hz)
(fv)=雜散的相位噪聲幅度,單位為dBc/Hz.
如果將振動能量表征為輪廓,如在隨機振動測試中那樣,則它具有(通過傅立葉法)模擬一系列正弦波,每個正弦波的頻率不同,每個正弦波都導致單獨的雜散和雜散的包絡峰值成為實際性能的衡量標準.兩種方法均以ppb/G表示相同的數值.
在1G的振動下,振蕩器處于靜止狀態(無外部振動)優于30dB的情況并不罕見.加速度靈敏度從零到大約50G呈線性關系.有可能看到雜散在高加速度下變得大于載體(石英晶振振蕩頻率).對于使用鎖相環的系統,即使是參考鎖的暫時丟失也是可靠性問題.對于使用鎖相環和其他倍頻方法的系統,上變頻頻率處的噪聲具有20log(M)的加法項,其中M是倍增因子.這包括來自單個音調的任何振動引起的尖刺或來自隨機音調的振動引起的包絡.
加速度靈敏度比較:
下面顯示了加速度測試結果,將常規晶體與C3VR進行了比較.正如您在Y和Z軸上看到的那樣,從常規晶體到C3VR的改進很少,但在X軸上的改進顯著,從總加速度靈敏度的角度來看,這有很大的不同.

從相位噪聲來看,您可以從創建加速度尖峰的傳統水晶振動子相位噪聲圖中看到,實際上比規格表和靜止相位噪聲圖中顯示的高30dB.使用C3VR可以大大減少這些尖峰,因此無論是靜止還是加速時,您的相位噪聲差異都最小.此外,在C3VR上看到的某些低頻衰減是由于測試設置中使用的電線和電纜的貢獻增加所致.

盡管以下列表顯示了最需要的頻率和規格,但這絕不是唯一可用的頻率和規格.還開發了更多的產品,此外我們還可以根據您的要求進行定制變型.
| 零件號 | 頻率 | 尺寸 | 應用 |
| FC3VREEDM38.4 | 38.4MHz | 3.2x2.5mm | 物聯網,檢測,WiFi,藍牙 |
| FC3VREEDM38.88 | 38.88MHz | 3.2x2.5mm | 5G基站、同步網、SDH |
| FC3VREEDM40.0 | 40MHz | 3.2x2.5mm | 汽車視覺系統,恩智浦S32V234,802.11p,V2XRF收發器,WAVE,DRSC,物聯網,高通QCA4020,無線網絡,藍牙,BLE,NFC,簡單鏈接,Zigbee |
| FC3VREEDM48.0 | 48.0MHz | 3.2x2.5mm | WiFi,藍牙 |
| FC3VREEEM38.4 | 38.4MHz | 3.2x2.5mm | 物聯網,DECT,WiFi,藍牙,SiliconLabsWF200系列收發器,BLE,Silabs無線GeckoSoC |
| FC3VREEGM36.0 | 36.0MHz | 3.2x2.5mm | G.快速,DSL |
| FC3VREEGM38.4 | 38.4MHz | 3.2x2.5mm | 物聯網,DECT,WiFi,藍牙5g基站,SONET, |
| FC3VREEGM38.88 | 38.88MHz | 3.2x2.5mm | SDH |
| FC3VREEGM40.0 | 40.0MHz | 3.2x2.5mm | 802.11pWiFi,藍牙,BLE,NFC,Simplelink,V2XRF收發器,WAVE,DRSC,IoT,高通QCA4020,Zigbee |
| FC3VREEGM50.0 | 50.0MHz | 3.2x2.5mm | 以太網,PLL,頻率發生器,微控制器,處理器 |
雖然FC3VREEDM48.0晶振不是現在最小型的石英晶體封裝產品,但是看到實物你就會明白,為什么會廣泛被通信產業使用,因為它真的非常小.而且可以長期保持可靠的電氣性能,能提供穩定的時鐘源信號,讓數據信息傳送和接收正常,遠距離通信無障礙,因此深受通信產業用戶的青睞,被長期使用在無線通信產品身上.
FC3VREEDM48.0晶振為何經常在無線通信設計方案里見到?
正在載入評論數據...
此文關鍵字: FC3VREEDM48.0晶振通信模塊晶體方案
相關資訊
- [2024-03-13]QVS推出MEMS石英振蕩器產品QMEM...
- [2023-06-29]-40~+105°C時的6G貼片石英晶體...
- [2020-07-16]通信網絡時鐘系統7x5mm溫補晶振...
- [2020-07-06]時鐘網絡與OCXO振蕩器的階層級別...
- [2020-06-22]Jauch公司專門為導航開發的新TC...
- [2020-06-06]解鎖Statek振蕩器系列產品的品質...
- [2020-05-28]VV-800系列VCXO晶體振蕩器的包裝...
- [2020-04-30]獨家推薦MEMS振蕩器應用電機系統...





業務經理
客服經理